(기흥아카데미)2019-1기 기흥아카데미 실용음악학 수강신청 확정명단 > 공지사항

본문 바로가기

팝업레이어 알림

0cd04ed459903d3fd48d51964e04be56_1765259767_8416.png
 

cbee2dff1fe9de1f505973036fc78cf0_1765516823_8525.png
 


  • 소통공간 공지사항
  • 공지사항 복지관공지 채용공고 실습안내

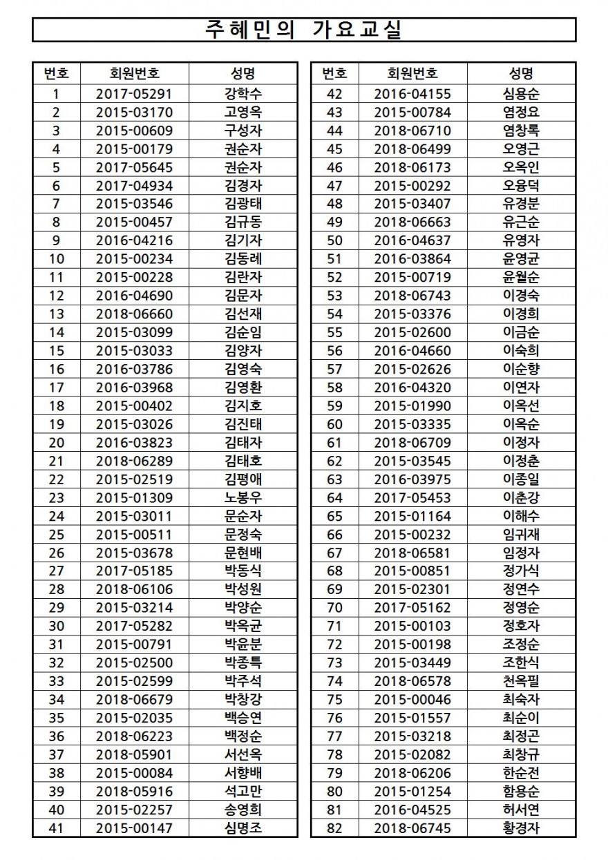
    일반안내 (기흥아카데미)2019-1기 기흥아카데미 실용음악학 수강신청 확정명단

    페이지 정보

    작성자 문화복지과대리 윤태경 댓글 0건 조회 18,305회 작성일 18-12-07 15:15

    본문

    7fc9e6850056dafdae1fe1431fbc16f2_1544163326_85.jpg
    7fc9e6850056dafdae1fe1431fbc16f2_1544163327_14.jpg
    7fc9e6850056dafdae1fe1431fbc16f2_1544163327_21.jpg
    7fc9e6850056dafdae1fe1431fbc16f2_1544163327_87.jpg
    7fc9e6850056dafdae1fe1431fbc16f2_1544163327_95.jpg
     

    댓글목록

    등록된 댓글이 없습니다.


16959 경기도 용인시 기흥구 산양로 71(신갈동)
TEL : 031-284-8852 FAX : 031-284-9888 E-mail : ygsenior@naver.com
ⓒ 용인시기흥노인복지관. All Rights Reserved.